近日,买球官方网站声子学中心任捷教授团队在《物理评论快报》(Physical Review Letters)在线发表了题为“Hybrid Spin and Anomalous Spin-Momentum Locking in Surface Elastic Waves”的研究论文,研究了弹性表面波中不同于其他表面波的自旋构成。
表面波的相关研究是波动系统研究中的重要方向。表面波的相关研究不仅可以增进人们对物理系统的基础性理解,也可以为诸如超声探伤等实际应用提供理论工具。表面波可以在多种介质中以不同的形式存在,如下图:

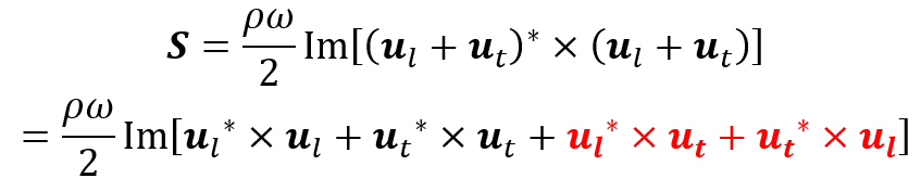
上图中,图a-d分别对应着从左往右传播的表面水波,表面电磁波,表面空气声波和表面弹性波——瑞利波。可以看出,尽管物理体系不同,但是前三者展现出类似的自旋性质,只有弹性表面波的自旋方向相反。这实际上是一个非常简单的数学问题。弹性波的自旋角动量密度可以写为:

它不仅有两个横波场和纵波场各自独立的贡献,还包含了横纵波交叉项的贡献(上式标红的部分),我们将后者称为“杂化”自旋。实际上,瑞利波中反常弹性波自旋及其反常自旋动量锁定其实是由杂化部分带来的贡献。
杂化声波自旋的存在意味着在调控表面弹性声波的时候可能会多一些选择。举一个具体的例子:在兰姆波中,由于杂化项贡献的影响,对称振动模式(A模式)和反对称振动模式(S模式)的自旋分布相反。这一性质在其他介质的导波模式中是没有的。考虑到兰姆波还具有自旋-动量锁定的性质,我们可以利用S和A模式自旋方向的区别来分别激励它们:

如上图,可以用两个压电片(PZT)组成的自旋源贴在薄板的下表面,并让其激励自旋为正的模式,那么在源的左侧就可以观测到A0模式,在源的右侧观测到S0模式。下图为实验测量结果:

图中理论上A0和S0的色散曲线分别由蓝色和橙色实线标出。当源的振荡频率为20kHz时,我们测到了上图的结果:在源右侧(x>0)主要为A0模式,源左侧(x<0 )主要为s0模式。通常来说,控制两个边界上振动的对称性,需要在每一条边界上都放置一个激励源。但是在兰姆波中,得益于其自旋角动量结构,可以通过a/s模式自旋分布性质的差异,仅在单独一条边界上激励特定的模式。
上述研究工作由买球官方网站声子学和声子自旋团队,包括买球官方网站、航空航天力学学院以及日本理化研究所的联合团队合作完成。其中,博士生杨晨温、博士生张丹妹和赵金峰教授为论文共同第一作者,任捷教授、仲政教授和Konstantin Y. Bliokh教授为论文共同通讯作者。同时,博士生高文婷、袁伟桃、龙洋,潘永东教授、陈鸿教授和Franco Nori教授也参与了该研究并提供了重要的帮助和讨论。该研究工作受科技部重点研发计划,基金委重点项目,上海市科委项目、原创探索、优秀学术带头人项目,以及上海市特殊人工微结构材料与技术重点实验室等支持。
论文链接:https://journals.aps.org/prl/abstract/10.1103/PhysRevLett.131.136102